인류의 건강과 복지를 증진하는 폴라리스AI파마
A leap to the world first class API manufacturer, PolarisAIPharma.
제품 검색
- HOME
- 제품소개
- 제품 검색
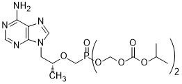
Tenofovir Disoproxil
| Cas No. | 201341-05-1 |
|---|---|
| Therapeutic Category | Anti-HBV |
| Status | MFDS(KDMF) Registered |
| Chemical Name | : 9-[(R)-2-[[bis[[(isopropoxycarbonyl)oxy]methoxy]phosphinyl]methoxy] |
| Characteristics | |
| Drug Master File | KDMF |
| Specification | IHS |


