인류의 건강과 복지를 증진하는 폴라리스AI파마
A leap to the world first class API manufacturer, PolarisAIPharma.
제품 검색
- HOME
- 제품소개
- 제품 검색
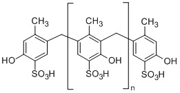
Policresulen (50% solution)
| Cas No. | 101418-00-2 |
|---|---|
| Therapeutic Category | Anti-septic |
| Status | Processing |
| Chemical Name | 2-Hydroxy-3,5-bis[(4-hydroxy-2-methyl-5-sulfophenyl)methyl]-4-methylbenzenesulfonic acid |
| Characteristics | |
| Drug Master File | CTD |
| Specification | IHS |


