The Leading Company in the World, PolarisAIPharma Co., Ltd.!
We have been devoting to all our energies to the development
of new active pharmaceutical ingredient
Product Search
- HOME
- Product
- Product Search
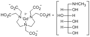
Gadopentetate meglumine
| Cas No. | 92923-57-4 |
|---|---|
| Therapeutic Category | Diagnostic acid (MRI contrast agent) |
| Status | PMDA, MFDS Registered |
| Chemical Name | (-)-1-Deoxy-1-(methylamino)-D-glucitol dihyrogen[N,N-bis[2-bis(carboxylmethyl)amino]ethyl]glycinato(5-)]gadolinate(2-)(1:1) |
| Characteristics | |
| Drug Master File | CTD |
| Specification | IHS |


