The Leading Company in the World, PolarisAIPharma Co., Ltd.!
We have been devoting to all our energies to the development
of new active pharmaceutical ingredient
Product Search
- HOME
- Product
- Product Search
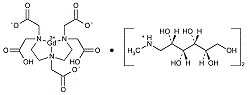
Gadopentetate dimeglumine
| Cas No. | 86050-77-3 |
|---|---|
| Therapeutic Category | Diagnostic acid (MRI contrast agent) |
| Status | Russia DMF, Taiwan DMF processing |
| Chemical Name | Gadolinite(2-)1-deoxy-1-(methylamino)-D-glucitol dihydrogen[N,N-bis[2-[bis(carboxymethyl)amino]ethyl]glycinato(5-)]gadolinite(2-)(1:2) |
| Characteristics | |
| Drug Master File | CTD |
| Specification | IHS |


